반응형
Notice
Recent Posts
Recent Comments
Link
| 일 | 월 | 화 | 수 | 목 | 금 | 토 |
|---|---|---|---|---|---|---|
| 1 | 2 | 3 | ||||
| 4 | 5 | 6 | 7 | 8 | 9 | 10 |
| 11 | 12 | 13 | 14 | 15 | 16 | 17 |
| 18 | 19 | 20 | 21 | 22 | 23 | 24 |
| 25 | 26 | 27 | 28 | 29 | 30 | 31 |
Tags
- 노마드 코더 #타입스크립트 #typescript #class
- DP #c++
- Next.js
- donwstream #upstream #origin
- react fragment
- 다익스트라 #파티 #백준
- 이친수
- #useRef #언제 쓰는데?
- 백준 #직각삼각형
- 얕은 복사 #깊은 복사 #shallow copy #deep copy
- 백준 #적록색약
- React #effect hook #useEffect
- 플로이드 #c++
- React #controlled component #비제어 컴포넌트 #제어 컴포넌트
- npm #not being able to find a file #npm install Error
- 버블링 #갭쳐링 #이벤트 #JS
- 코드스테이츠 #알고리즘 #그리디
- interceptors
- useState #Hooks
- RateLimit
- html entities
- axios
- rate limit
- react #useCallback #react Hook
- React #Hook rules #Hook 규칙
- React #리액트 이벤트 주기 #리액트 이벤트
- 빡킹독
- raect typescript #react #typescript #styled-component
- React-Query
- JWT #토큰 #refreshToken #accessToken #Token #token #localStorage #sessionStorage
Archives
- Today
- Total
꿈꾸는 개발자
1010번 백준 조합론 c++ 풀이 본문
시간 제한메모리 제한제출정답맞힌 사람정답 비율
| 0.5 초 (추가 시간 없음) | 128 MB | 58467 | 26950 | 21970 | 48.207% |
문제
재원이는 한 도시의 시장이 되었다. 이 도시에는 도시를 동쪽과 서쪽으로 나누는 큰 일직선 모양의 강이 흐르고 있다. 하지만 재원이는 다리가 없어서 시민들이 강을 건너는데 큰 불편을 겪고 있음을 알고 다리를 짓기로 결심하였다. 강 주변에서 다리를 짓기에 적합한 곳을 사이트라고 한다. 재원이는 강 주변을 면밀히 조사해 본 결과 강의 서쪽에는 N개의 사이트가 있고 동쪽에는 M개의 사이트가 있다는 것을 알았다. (N ≤ M)
재원이는 서쪽의 사이트와 동쪽의 사이트를 다리로 연결하려고 한다. (이때 한 사이트에는 최대 한 개의 다리만 연결될 수 있다.) 재원이는 다리를 최대한 많이 지으려고 하기 때문에 서쪽의 사이트 개수만큼 (N개) 다리를 지으려고 한다. 다리끼리는 서로 겹쳐질 수 없다고 할 때 다리를 지을 수 있는 경우의 수를 구하는 프로그램을 작성하라.

입력
입력의 첫 줄에는 테스트 케이스의 개수 T가 주어진다. 그 다음 줄부터 각각의 테스트케이스에 대해 강의 서쪽과 동쪽에 있는 사이트의 개수 정수 N, M (0 < N ≤ M < 30)이 주어진다.
출력
각 테스트 케이스에 대해 주어진 조건하에 다리를 지을 수 있는 경우의 수를 출력한다.
예제 입력 1 복사
3
2 2
1 5
13 29
예제 출력 1 복사
1
5
67863915

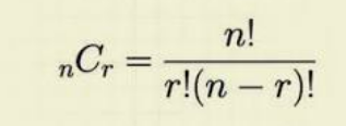
해당 공식을 기억하고, 해당 공식에서 n=m(문제에서) r=(n)에 속한다!
#include<bits/stdc++.h>
using namespace std;
int t;
int main(void) {
ios::sync_with_stdio(false); cin.tie(0);
cin >> t;
while (t--) {
long long int ans = 1;
int r = 1;
int n, m;
cin >> n >> m;
int i = m;
int j = n;
while (j--) {
ans *= i--;
ans /= r++;
}
cout << ans<<"\n";
}
}