| 일 | 월 | 화 | 수 | 목 | 금 | 토 |
|---|---|---|---|---|---|---|
| 1 | ||||||
| 2 | 3 | 4 | 5 | 6 | 7 | 8 |
| 9 | 10 | 11 | 12 | 13 | 14 | 15 |
| 16 | 17 | 18 | 19 | 20 | 21 | 22 |
| 23 | 24 | 25 | 26 | 27 | 28 | 29 |
| 30 |
- React #리액트 이벤트 주기 #리액트 이벤트
- donwstream #upstream #origin
- 빡킹독
- 이친수
- react #useCallback #react Hook
- DP #c++
- 플로이드 #c++
- react fragment
- rate limit
- html entities
- axios
- 얕은 복사 #깊은 복사 #shallow copy #deep copy
- 코드스테이츠 #알고리즘 #그리디
- React #Hook rules #Hook 규칙
- raect typescript #react #typescript #styled-component
- Next.js
- RateLimit
- useState #Hooks
- 버블링 #갭쳐링 #이벤트 #JS
- JWT #토큰 #refreshToken #accessToken #Token #token #localStorage #sessionStorage
- 다익스트라 #파티 #백준
- React-Query
- 노마드 코더 #타입스크립트 #typescript #class
- interceptors
- 백준 #적록색약
- #useRef #언제 쓰는데?
- React #controlled component #비제어 컴포넌트 #제어 컴포넌트
- React #effect hook #useEffect
- npm #not being able to find a file #npm install Error
- 백준 #직각삼각형
- Today
- Total
꿈꾸는 개발자
Three.js 수학 (행렬) 본문
행렬의 곱의 의미 ( Right에서부터 순차적으로 적용된다)
• A x B : 행렬 A 의 변환이 먼저 적용되고, 그 다음에 행렬 B 의 변환이 적용됩니다.
• B x A : 행렬 B 의 변환이 먼저 적용되고, 그 다음에 행렬 A 의 변환이 적용됩니다.
예시:
• A : 객체를 5 단위만큼 x 축으로 이동하는 행렬
• B : 객체를 90 도 만큼 z 축을 중심으로 회전시키는 행렬
• A x B: 객체를 먼저 90 도 만큼 z 축을 중심으로 회전시키고, 그 다음에 x 축을 따라 5 단위만큼 이동시킵니다.
• B x A : 객체를 먼저 x 축을 따라 5 단위만큼 이동시키고, 그 다음에 90 도 만큼 z 축을 중심으로 회전시킵니다.
행렬의 곱셈의 경우 A와 B의 각 요소를 곱하고 더한 결과라고 할 수 있다.
역행렬의 의미
- 변환의 반전: 행렬의 역행렬은 원래 변환의 반대 방향으로 변환을 적용합니다. 예를 들어, 어떤 객체를 이동시키는 행렬이 있다면, 그 행렬의 역행렬을 적용하면 객체를 원래 위치로 되돌릴 수 있습니다.
- 카메라 변환: 카메라의 뷰 행렬은 카메라 좌표계를 세계 좌표계로 변환하는 행렬입니다. 이 뷰 행렬의 역행렬은 세계 좌표계를 카메라 좌표계로 변환합니다. 이를 통해 월드 좌표계에서 카메라의 위치와 방향을 찾을 수 있습니다.
- 일반: (카메라 => 월드좌표)
- 역행렬: (월드좌표 => 카메라 좌표)
- 카메라 변환:
- world => local
- local => world
3D상에서 각 행렬이 가지는 의미 (4x4)
const matrix = new THREE.Matrix4();
// 예제: 행렬의 각 요소를 설정
matrix.set(
1, 0, 0, 10, // 첫 번째 열 (X축 방향 벡터 및 X 위치) 객체의 x축 회전과 크기 변환을 포함
0, 1, 0, 20, // 두 번째 열 (Y축 방향 벡터 및 Y 위치) y축의
0, 0, 1, 30, // 세 번째 열 (Z축 방향 벡터 및 Z 위치) z축의
0, 0, 0, 1 // 네 번째 열 (균등한 스케일링)
);
console.log(matrix);
Transpose and Inverse and identity Matrix
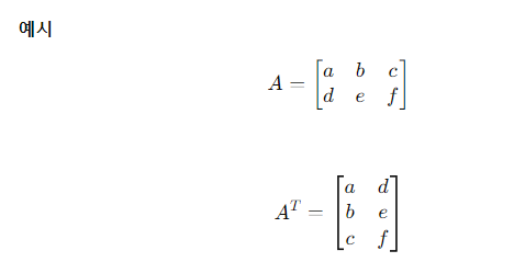
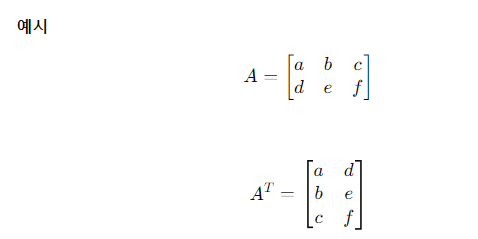
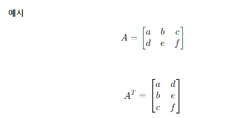
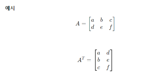
Transpose (전치)
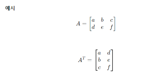
transpose는 행과열을 뒤바꾸는 것을 의미한다.행렬 A의 전치 행렬은 A^T 로 표시한다.

용도: 데이터 변환, 행과 열의 교환
Inverse (역행렬)
행렬의 역행렬은 원래 행렬과 곱했을 때 단위 행렬을 생성하는 행렬을 의미한다.행렬 의 역행렬은 A^-1로 표시한다.
조건:
- 행렬 A의 행과 열의 수가 같아야 한다.
용도: 선형 방정식 풀기, 시스템 해석
Identity Matrix (단위 행렬)
단위 행렬은 대각선 요소가 모두 1이고 나머지 요소가 모두 0인 정사각 행렬이다. 단위 행렬은 보통 로 표기된다.

* 참고사항: 3D 상에서 Rotation [R/t]에서 R의 경우 회전 Matrix의 역행렬은 곧 기존 Matrix의 전치에 해당한다. (S,T의 경우는 다르다)